https://gulder04.edu.kz/kz/zhanaly-tar.html#sigFreeId0574492770
https://gulder04.edu.kz/kz/zhanaly-tar.html#sigFreeId921cfbe307
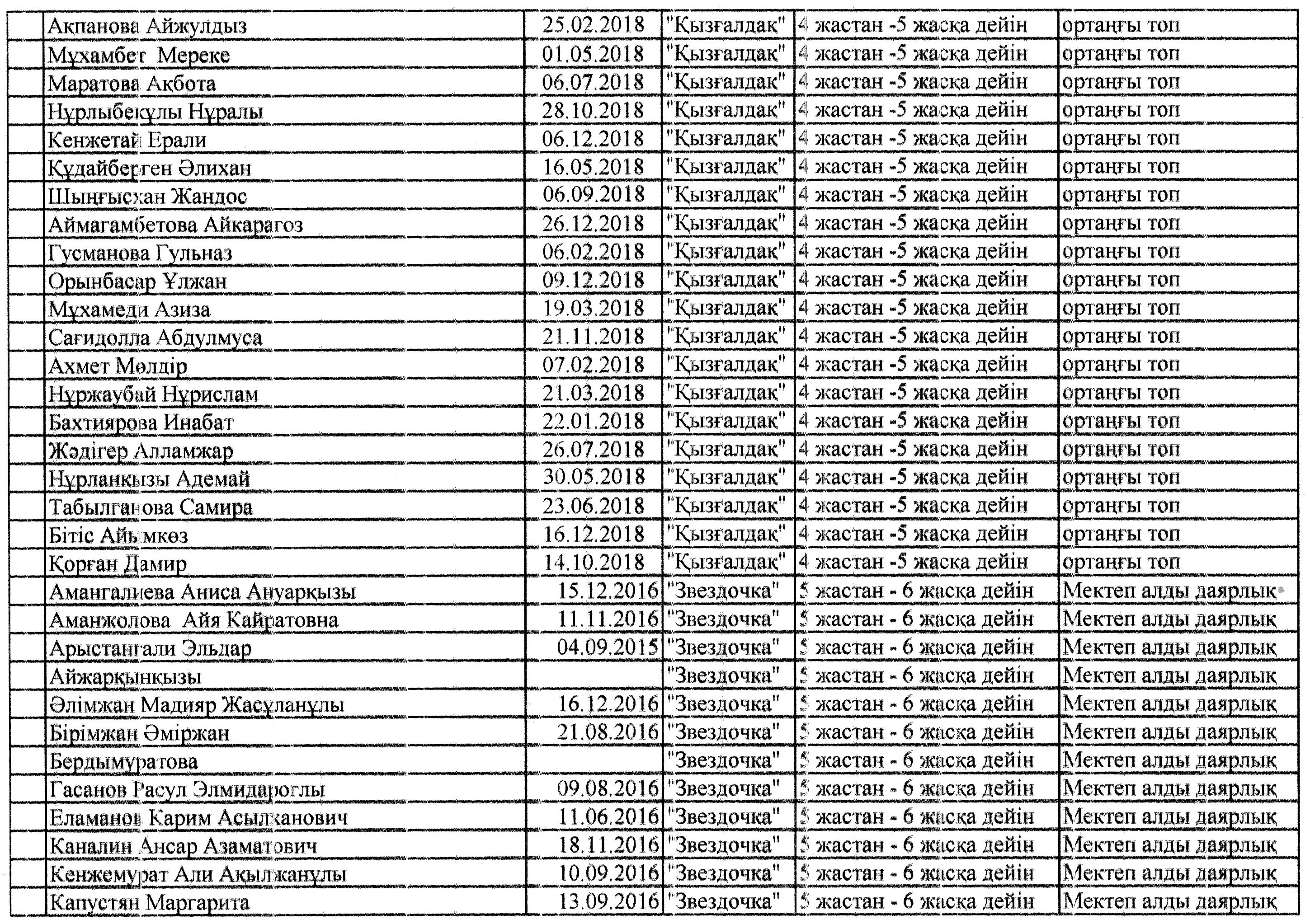
Хаттама
https://gulder04.edu.kz/kz/zhanaly-tar.html#sigFreeId930eca40ad
Бұйрық
https://gulder04.edu.kz/kz/zhanaly-tar.html#sigFreeId7ad645932c
Бағалау парағы
https://gulder04.edu.kz/kz/zhanaly-tar.html#sigFreeId5f11f02d3c
Анықтама
https://gulder04.edu.kz/kz/zhanaly-tar.html#sigFreeId1f0cd89722






